Đề thi trắc nghiệm môn Toán THPT quốc gia 2018
(Dân trí) - Hơn 900.000 thí sinh đã làm bài thi trắc nghiệm môn Toán THPT quốc gia 2018, thời gian làm bài 90 phút. Dân trí sẽ cập nhật gợi ý giải đề thi trắc nghiệm môn Toán nhanh nhất để bạn đọc và thí sinh tham khảo. Dưới đây là mã đề thi 106, 115, 103, 117, 109, 105, 120.
>> Mời quý độc giả theo dõi GỢI Ý GIẢI ĐỀ THI MÔN TOÁN TẠI ĐÂY <<

Thí sinh trao đổi bài thi
Được biết, thời gian thí sinh làm bài bắt đầu từ 14h30 phút. Với thi trắc nghiệm, mỗi thí sinh trong phòng thi có một mã đề khác nhau.
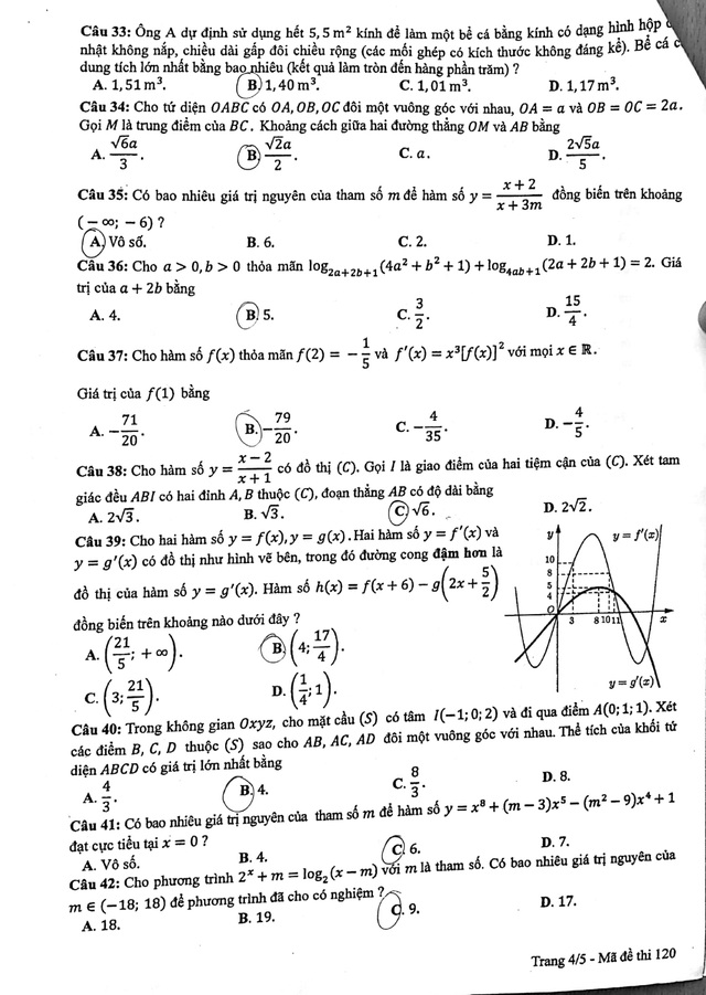
Mã đề thi 120:





---------------------------------
Mã đề thi 105:





----------------------------------
Mã đề thi 115:





-----------------------------------------------------
Dưới đây là mã đề thi 117:





-------------------------------------------------
Dưới đây là mã đề thi 109:





-----------------------------------------------------
Dưới đây là mã đề thi 106:





-------------------------------------
Dưới đây là mã đề 103





>> Mời quý độc giả theo dõi GỢI Ý GIẢI ĐỀ THI MÔN TOÁN TẠI ĐÂY <<
**** Với đề thi tham khảo môn Toán THPT quốc gia 2018 mà Bộ GD&ĐT đã công bố từ đầu tháng 1 để thí sinh tham khảo ôn tập, nhiều giáo viên nhận định, khó hơn rất nhiều so với năm 2017, kiến thức trong đề bao phủ chương trình lớp 11 và lớp 12.
Thầy giáo Nguyễn Tiến Đạt cho rằng, đề độ khó như vậy sẽ đáp ứng được yêu cầu là một đề thi THPT quốc gia, vừa dùng để xét tốt nghiệp, nhưng lại phải có tính phân loại cao để làm căn cứ xét tuyển vào các trường đại học. Do đó, khả năng cao đề thi thật sẽ vẫn có đủ toàn bộ câu thuộc toàn bộ 6 chương lớp 11 và độ khó sẽ tương đương với đề tham khảo.
Thứ trưởng Bộ GD&ĐT Nguyễn Hữu Độ cho biết, cấu trúc của đề thi năm nay vẫn giữ ổn định như năm 2017. Câu hỏi về kiến thức cơ bản sẽ chiếm khoảng 60% đề thi, những thí sinh làm tốt phần này sẽ đủ điều kiện tốt nghiệp; 40% kiến thức còn lại là phần phân hoá, là kênh thông tin tốt để xét thí sinh trúng tuyển vào đại học.
PV










