Điểm chuẩn vào ĐH Công nghiệp Thực phẩm TPHCM, ĐH Sư phạm Kỹ thuật TPHCM
(Dân trí) - Trường ĐH Công nghiệp Thực phẩm TPHCM, ĐH Sư phạm Kỹ thuật TPHCM vừa công bố điểm trúng tuyển theo kết quả thi tốt nghiệp THPT 2021.

Thí sinh tham dự xét tuyển ĐH năm 2021.
Trường ĐH Công nghiệp Thực phẩm TPHCM: ngành tăng nhiều nhất 4,5 điểm
Trường ĐH Công nghiệp thực phẩm TP.HCM công bố điểm chuẩn xét theo phương thức thi tốt nghiệp THPT, trong đó ngành tăng nhiều nhất 4,5 điểm.
Theo thạc sĩ Phạm Thái Sơn, Giám đốc Trung tâm tuyển sinh và truyền thông, điểm chuẩn các ngành của trường tăng hơn năm ngoái từ 1-4,5 điểm. Trong đó, ngành Quản trị khách sạn có mức tăng nhiều nhất, cao hơn 4,5 điểm so với năm 2020.
Điểm chuẩn từng ngành như bảng sau:

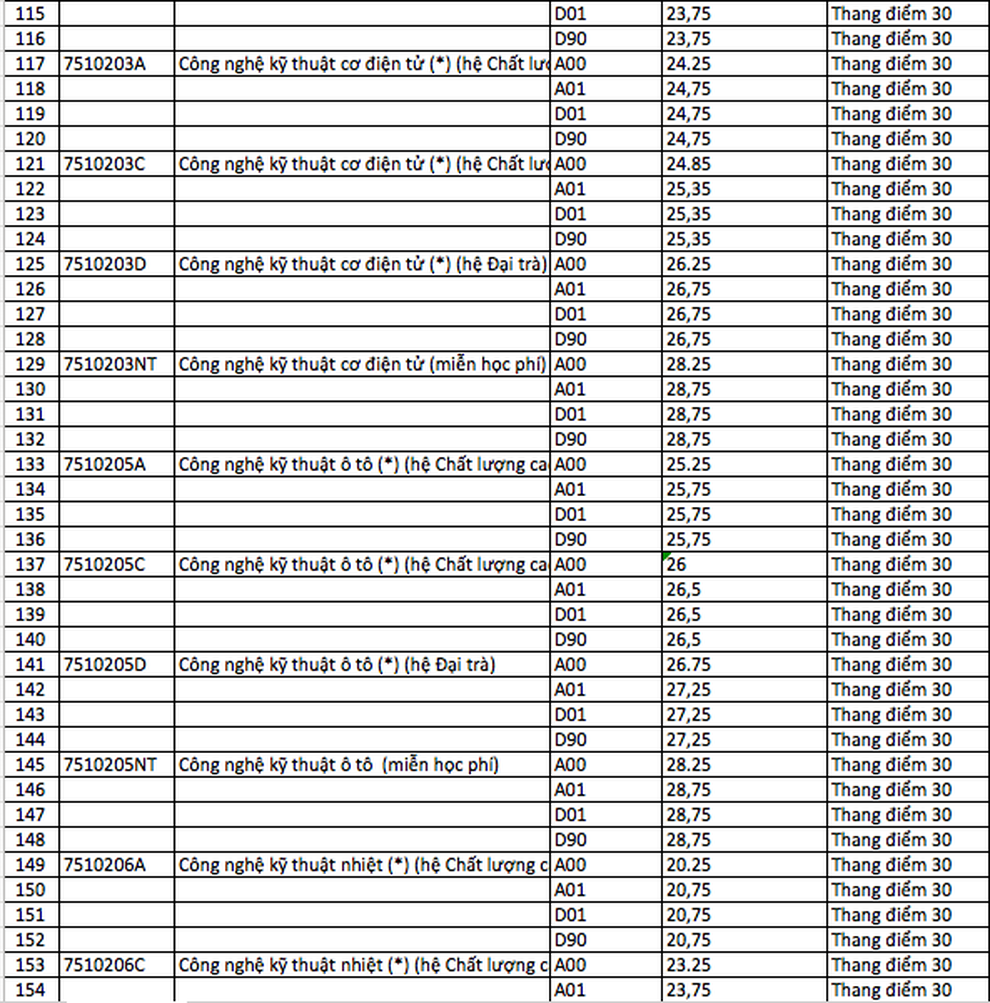
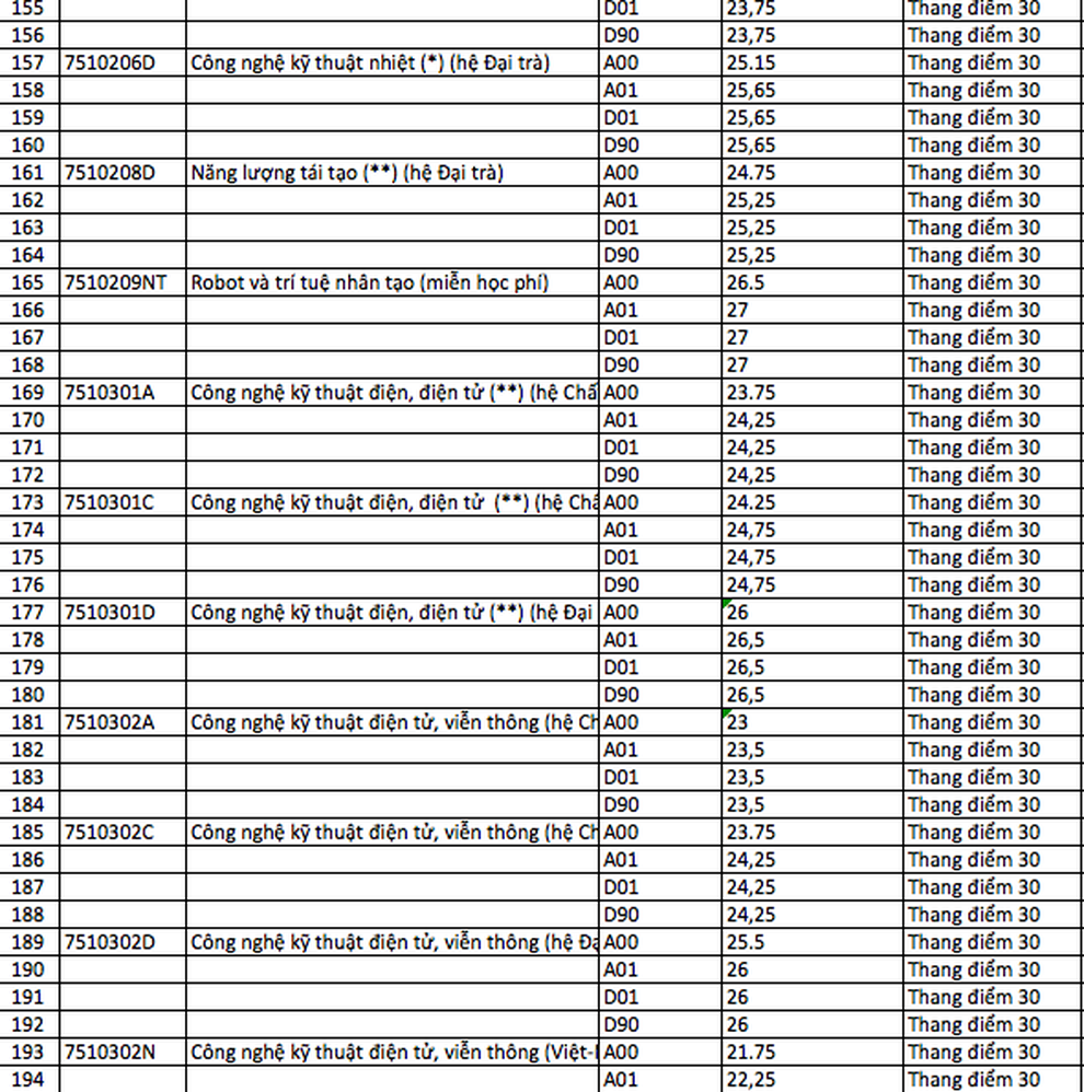
Điểm chuẩn vào ĐH Sư phạm Kỹ thuật TPHCM cao nhất 28,75 điểm
Chiều 15/9, trường ĐH Sư phạm Kỹ thuật TP.HCM đã thông báo về mức điểm trúng tuyển ở các ngành đào tạo theo phương thức xét điểm thi tốt nghiệp THPT năm 2021.
Theo đó, mức trúng tuyển vào các ngành đào tạo của ĐH Sư phạm Kỹ thuật TP.HCM là từ 19 đến 28,75 điểm.
Các ngành có điểm chuẩn cao nhất của trường là Công nghệ thông tin, Công nghệ kỹ thuật cơ điện tử, Công nghệ kỹ thuật ô tô, Công nghệ kỹ thuật điều khiển và tự động hóa, Logistic và quản lý chuỗi cung ứng. Những ngành này đều có điểm chuẩn là 28,75 ở các tổ hợp xét tuyển A01, D01 và D90.
Các ngành có điểm trúng tuyển trên 27 của trường là Công nghệ kỹ thuật điều khiển và tự động hóa (hệ đại trà), Robot và trí tuệ nhân tạo, Công nghệ kỹ thuật ô tô (hệ đại trà), Công nghệ thông tin (hệ đại trà), Sư phạm tiếng Anh (hệ đại trà). Mức điểm này là điểm chuẩn ở các tổ hợp A01, D01 và D90.
Điểm chuẩn thấp nhất của trường là 19, ở tổ hợp A00 ngành Quản lý và vận hành hạ tầng (hệ đại trà).
Điểm chuẩn các ngành cụ thể như sau:








