Gợi ý đáp án môn toán mã đề 101, 102, 103, 104, 105, 106, 107, 108
(Dân trí) - Hơn 1 triệu thí sinh cả nước vừa trải qua bài thi môn toán trong kỳ thi tốt nghiệp THPT 2024. Dân trí cập nhật đáp án môn toán mã đề từ 101 đến 108.
Dưới đây là đáp án gợi ý đề thi môn toán tốt nghiệp THPT mã đề 101 đến mã đề 108 đến từ ban chuyên môn Tuyensinh247:
Gợi ý đáp án mã đề 101:

Gợi ý đáp án mã đề 102:

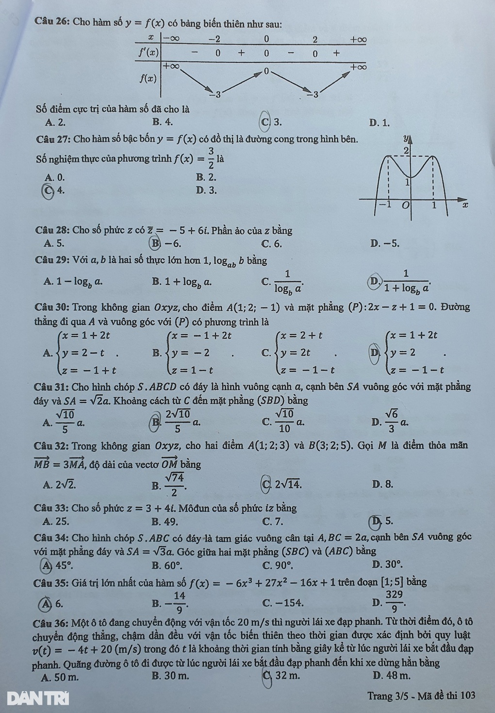
Gợi ý đáp án mã đề 103:

Gợi ý đáp án mã đề 104:

Gợi ý đáp án mã đề 105:

Gợi ý đáp án mã đề 106:

Gợi ý đáp án mã đề 107:

Gợi ý đáp án mã đề 108:

Xem thêm đề thi môn toán mã đề 103:





Cấu trúc đề toán với 50 câu hỏi ở dạng thức trắc nghiệm nhiều lựa chọn cho 4 phương án chọn 1 đáp án đúng, mỗi câu trả lời đúng được 0,2 điểm.
Quy định hiện nay, nếu thí sinh có 1 môn thi có điểm bằng 1 hoặc dưới 1 sẽ coi như bị điểm liệt. Điều này đồng nghĩa với việc thí sinh không đủ điều kiện công nhận tốt nghiệp THPT và cũng không thể sử dụng kết quả của kỳ thi tốt nghiệp THPT năm 2024 để xét tuyển vào các trường đại học, cao đẳng.
Theo quy chế thi, điểm xét tốt nghiệp không chỉ phụ thuộc vào kết quả thi tốt nghiệp THPT mà còn căn cứ trên kết quả học tập của lớp 12.

Hơn 1 triệu thí sinh trải qua bài thi môn toán trong kỳ thi tốt nghiệp THPT năm 2024 (Ảnh: Nam Anh).
Cụ thể, đối với học sinh THPT, điểm xét tốt nghiệp (ĐXTN) được tính theo công thức sau: ĐXTN = {(Tổng điểm 4 bài thi tốt nghiệp THPT + Tổng điểm khuyến khích)/4 x 7 + Điểm trung bình cả năm lớp 12 x 3}/10 + Điểm ưu tiên.
Với học sinh học chương trình giáo dục thường xuyên cấp THPT, công thức tính ĐXTN như sau: ĐXTN = {(Tổng điểm 3 bài thi tốt nghiệp THPT/3 + Tổng điểm khuyến khích/4) x 7 + Điểm trung bình cả năm lớp 12 x 3}/10 + Điểm ưu tiên.
Thời gian công bố điểm thi tốt nghiệp THPT năm 2024 dự kiến vào 8h sáng ngày 17/7.












