Thanh Hóa:
Đề nghị xử lý hàng loạt đơn vị vi phạm pháp luật về BHXH
(Dân trí) - Mặc dù cơ quan BHXH đã đôn đốc, nhắc nhở, nhưng đến nay hàng chục đơn vị vẫn không chấp hành các quy định về đóng, nộp BHXH, BHYT, BHTN cho người lao động, để số tiền nợ lớn, thời gian nợ dài.
Ngày 10/12, thông tin từ Bảo hiểm xã hội (BHXH) Thanh Hóa, thực hiện quy chế phối hợp công tác giữa BHXH huyện Hậu Lộc với Chi cục Thuế, Liên đoàn Lao động và Công an huyện, BHXH huyện Hậu Lộc vừa có văn bản đề nghị liên ngành xử lý nợ đọng BHXH, bảo hiểm y tế (BHYT), bảo hiểm thất nghiệp (BHTN) tại các đơn vị.

Bảo hiểm xã hội huyện Hậu Lộc (Thanh Hóa) đã kiến nghị xử lý hàng loạt đơn vị vi phạm về dóng, nộp BHXH, BHYT, BHTN (Ảnh: BHXH Hậu Lộc).
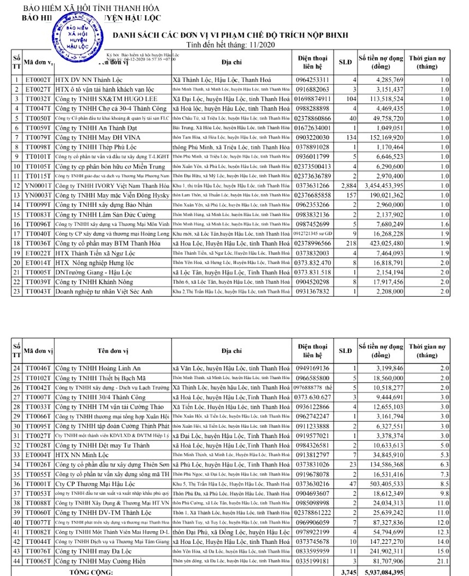
Theo số liệu quản lý của cơ quan BHXH hội huyện Hậu Lộc, tính đến hết tháng 11/2020, trên địa bàn huyện này còn 44 đơn vị, có hành vi vi phạm pháp luật về đóng, nộp BHXH, BHYT, BHTN, với số tiền nợ là gần 6 tỷ đồng.
Mặc dù cơ quan BHXH huyện Hậu Lộc đã đôn đốc, nhắc nhở, phối hợp với liên ngành thực hiện thanh tra, kiểm tra một số đơn vị để xử lý, yêu cầu các đơn vị thực hiện việc đóng, nộp BHXH, BHYT, BHTN cho người lao động theo quy định.
Tuy nhiên, đến nay các đơn vị vẫn không chấp hành các quy định về đóng, nộp BHXH, BHYT, BHTN cho người lao động, để số tiền nợ lớn, thời gian nợ dài gây khó khăn cho cơ quan BHXH trong việc giải quyết nghiệp vụ, ảnh hưởng trực tiếp đến quyền lợi của người lao động.

Để đảm bảo quyền lợi cho người lao động theo quy định, BHXH huyện Hậu Lộc đề nghị Chi cục Thuế khu vực Nga Sơn - Hậu Lộc, Công an, Liên đoàn Lao động huyện và các đơn vị có liên quan theo chức năng nhiệm vụ có biện pháp hỗ trợ cơ quan BHXH huyện xử lý các đơn vị có hành vi vi phạm pháp luật về đóng, nộp BHXH, BHYT, BHTN theo quy định của pháp luật.
Trước đó, vào tháng 10/2020, BHXH huyện Hậu Lộc cũng đã chuyển hồ sơ cho Cơ quan điều tra Công an huyện này để xử lý hình sự đối với đơn vị trốn đóng, nợ đọng BHXH, BHYT, BHTN.











