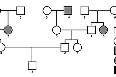
Cách lấy điểm câu cực khó môn Sinh học trong bài tập Di truyền phả hệDi truyền phả hệ thường được ra dưới 2 dạng bài tập sau: xác định kiểu gen cá thể trong phả hệ và tìm xác suất kiểu gen của cá thể trong phả hệ (cá thể đã được sinh ra hoặc dự đoán cá thể sinh ra). 2 dạng bài tập này đều ở mức độ khó, học sinh cần nắm được phương pháp chung để tiến hành làm bài toán.
Phương pháp lấy điểm câu cực khó trong đề thi Sinh học: Di truyền phả hệBài tập di truyền phả hệ là một câu hỏi khó/rất khó nhằm phân loại thí sinh. Điểm khác biệt của di truyền phả hệ là đối tượng trên người chứ không phải động vật hay thực vật, vì thế bài toán sẽ không có các tỉ lệ kiểu hình như phép lai trong bài tập quy luật di truyền, thay vào đó là kiểu hình và mối liên hệ giữa các thành viên trong phả hệ là căn cứ để giải quyết bài toán.
Tìm ra cây phả hệ của vi rút cảm lạnhThiết lập được "cây phả hệ" của các vi rút có thể mở đường cho những phương pháp điều trị cảm lạnh chung mang lại hiệu quả cao, các nhà khoa học trường Y Maryland cho biết.
Phả hệ gia đình Osama bin LadenKể từ vụ đột kích của Mỹ nhằm vào nhà của Osama bin Laden ở Pakistan hôm 2/5 vừa qua, 3 trong số 5 bà vợ cùng các con của trùm khủng bố (chưa rõ số lượng) đã bị giới chức Pakistan giam giữ.
“Cây phả hệ” của mạng lưới khủng bố al-QaedaThủ lĩnh mạng lưới khủng bố Osama bin Laden có nhiều tay chân thân tín. Chúng đều là những tên khủng bố dày dạn kinh nghiệm trận mạc, với mỗi tên nắm giữ một vị trí.
Vụ án mạng "tắc" hơn 50 năm được phá nhờ một mẩu thuốc láSự phát triển của công nghệ ADN và phả hệ di truyền giúp cảnh sát Mỹ tìm ra hung thủ đoạt mạng một nữ giáo viên từ năm 1971.
Sinh vật giống cá này có thể là tổ tiên cổ đại của con ngườiMột sinh vật bí ẩn đã tuyệt chủng từng khiến các nhà khoa học bối rối cuối cùng đã tìm thấy vị trí của mình trong cây phả hệ sự sống.
Phụ nữ được công nhận là hậu duệ của Khổng TửLần đầu tiên trong hơn 2.500 năm, phả hệ những người có quan hệ huyết thống với Khổng Tử sẽ bao gồm cả phái nữ. Đây là cây phả hệ lớn nhất thế giới.
Gia phả lớn nhất thế giới kết nối 13 triệu người tiết lộ những điều thú vịBằng cách thu thập dữ liệu từ một trang web phả hệ trực tuyến Geni.com, các nhà khoa học gần đây đã kết nối và xây dựng được cây Gia phả lớn nhất thế giới.
Cái chết của 2 cô gái xinh đẹp và hành trình 40 năm truy tìm hung thủ2 cô gái xinh đẹp ở Mỹ mất mạng sau khi đi nhờ xe vào năm 1982. Mãi tới năm 2020, công nghệ xét nghiệm DNA phả hệ mới giúp cảnh sát tìm ra nghi phạm.
Obama và Palin là họ hàng xaCác nhà phả hệ học cho hay Tổng thống Mỹ Barack Obama và cựu Thống đốc Alaska Sarah Palin là họ hàng đời thứ 10.
Bối cảnh gia đình cực kỳ có “số má” của HLV Frank LampardCây phả hệ nhà Lampard hoá ra lại gồm toàn những cái tên nổi tiếng và đặc biệt, huyền thoại Chelsea chính là “con nhà nòi” với tình yêu bóng đá thấm nhuần trong huyết quản.